Le LOL est en situation critique, en voie de disparition. Le fameux acronyme de « laughing out loud » (je ris très fort), qui a animé les salles de chat depuis les débuts du Web, ne semble plus avoir du tout la cote auprès des internautes. Voilà ce qui ressort d’une très sérieuse étude publiée il y a peu par Facebook, qui a analysé des millions de posts et de commentaires sur sa plate-forme pour connaître la popularité des différents moyens écrits d’expression du rire en ligne.
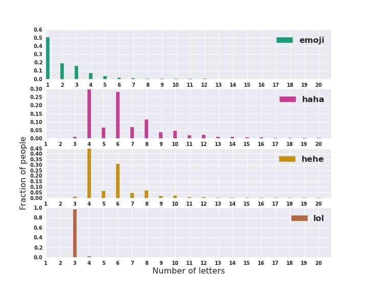
Résultat : « lol » n’est plus utilisé que par 1,9 % de son échantillon. Il est complètement dépassé par l’ultra dominant « haha » (51,4 %). Viennent ensuite les emojis (33,7 %) puis « hehe » (13,1 %).

Facebook a par ailleurs constaté que le « loleur » est plus âgé que ceux qui emploient « hehe » ou « haha », et que les plus jeunes internautes, eux, préfèrent utiliser de simples émoticônes. Ce qui tendrait à démontrer que « LOL » a vieilli avec ses utilisateurs, mais qu’il a été oublié –ou ringardisé- par les nouvelles générations de surfeurs.

Les chercheurs de la firme de Menlo Park ont par ailleurs découvert que les internautes utilisaient « haha » et « hehe » de façon modulaire. Pour signifier qu’ils rient beaucoup, les individus cumulent les lettres pour montrer qu’ils rient vraiment beaucoup. « hahaha », voie « hahahaha » sont ainsi très courants. Les auteurs de l’étude ont même vu un « haha » de 600 caractères. Les emojis aussi, sont cumulés pour accentuer le rire… Mais « lol » est quant à lui comme figé à trois lettres…

Enfin, on remarque aussi une différence entre les sexes. Les femmes ont tendance à préférer les emojis, alors que les hommes préfèrent utiliser « haha ».
Seul problème de cette étude : elle ne s’est intéressée qu’aux termes anglo-saxons. Impossible de connaître, dans ce grand concert de rires, comment se porte notre très français « mdr » !
Source : Facebook research
👉🏻 Suivez l’actualité tech en temps réel : ajoutez 01net à vos sources sur Google, et abonnez-vous à notre canal WhatsApp.

